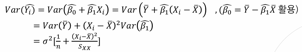
1. E(Yi)의 추정 및 검정 E( Y | X )



- ŷi의 분포

- 오차분산을 모를 때,

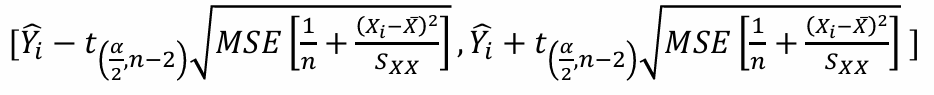
- E( Yi )의 100(1 - α)% 신뢰구간

- 검정통계량

- 양측검정
H0 : E(Yi) = μ0, H1 : E(Yi) ≠ μ0
- 귀무가설 기각 : E(Yi)이 μ0가 아니다.
2. 변동 분해
- 총 변동 = 설명이 안되는 변동 + 설명이 되는 변동

- 총 제곱합(SST) = 잔차제곱합(SSE) + 회귀제곱합(SSR)

3. 분산분석
- 자유도
총 변동(n - 1) = 잔차변동(n - 2) + 회귀변동(1)
- 평균제곱

개인첨언 : 회귀모형의 자유도 p는 설명변수의 수
4. 회귀모형 검정 (F 검정)
- F 분포

- F 분포와 t-분포
F-분포와 t-분포의 관계
Z ~ N(0, 1), V ~ χ²(k) 이고 Z와 V는 서로 독립일 때,


- 가설 검정
H0 : β1 = 0, H1 : β1 ≠ 0
- 검정통계량

- 검정

5. 결정계수 (R²)
- 총 변동 중 회귀식에 의해 설명되는 변동의 비율
- 총 변동 중 어느 정도가 독립변수에 의해 설명되는가
- 0과 1 사이의 범위에 있고 1에 가까울수록 회귀식에 의해 설명되는 양이 커짐

개인첨언 : 단순선형회귀분석에서 상관계수의 제곱은 결정계수와 같다. ( R² = r² )
강의는 통계수학 기초에 관한 내용을 다루고 있으며, 강의를 복습하기 위해 블로그에 다시 한 번 요약정리 하고 있다. 강의에서는 더욱 자세한 내용 설명과 예제를 통한 수학적 증명을 설명해주고 있으니, 통계수학에 대한 공부를 하고 싶은 사람은 꼭 이 강의를 수강하길 강추한다.
공부내용 :
https://www.metacodes.co.kr/edu/read2.nx?M2_IDX=30098&page=1&sc_is_discount=&sc_is_new=&EP_IDX=8382&EM_IDX=8208
통계 기초의 모든것 올인원 [ 1편, 2편 ]ㅣ18만 조회수 검증
www.metacodes.co.kr
'[통계학]' 카테고리의 다른 글
| 회귀분석 (1) (3) | 2024.10.24 |
|---|---|
| 분산 분석 - 일원배치 / 이원배치 (3) | 2024.10.23 |
| 두 모집단 비교 - 두 모집단 비교 / 두 모평균 비교 / 대응비교 / 두 모비율 비교 / 두 모분산 비교 (2) | 2024.10.22 |
| 검정 - 검정의 요소 알아보기 / 검정력 함수 / 검정 절차 / 모평균검정 / 모비율검정 / 모분산검정 (3) | 2024.10.22 |
| 추정 - 점추정 / 구간추정 / (모평균,모비율,모분산의) 구간추정 / 표본크기결정 (1) | 2024.10.21 |