검정
1. 통계적 추론
- 신뢰구간 : 미지의 모수 추정이 목적
- 가설검정 : 모수에 관한 가설의 타당성에 대한 경험적 증거 제시가 목적
2. 가설검정
모수에 관한 귀무/대립가설을 설정한 후 데이터에 따라 어떤 가설이 맞는지 결정하는 통계적 분석
- 비수도권의 출생률이 수도권 출생률보다 낮다
- X팀은 홈구장에서의 승률이 원정 구장에서의 승률보다 높다

3. 가설의 종류
귀무가설(H0)
- 검정하는 가설
- 대립가설과 상반되는 가설로, 일반적인 사실을 귀무가설로 설정
- 효과가 없다, 차이가 없다 등의 내용
대립가설(H1)
- 입증하고자 하는 가설
- 효과가 있다, 차이가 있다 등의 내용
4. 가설의 예시
예) X팀의 홈구장 승률은 60%보다 높은가?
- 귀무가설 : X팀의 홈구장 평균 승률은 60%보다 작거나 같다. ( µ ≤ 0.60)
- 대립가설 : X팀의 홈구장 평균 승률은 60%보다 크다. ( µ > 0.60)
5-1. 가설설정의 오류
- 제 1종 오류(α)
- 귀무가설을 채택해야 했음에도 이를 기각할 오류
- 표본으로부터 얻은 검정결과가 우연에 의해 잘못 판단되었을 가능성
- α는 일반적으로 5%로 설정
- 제 2종 오류(β)
- 귀무가설을 기각해야 했음에도 이를 채택할 오류
- 실제로는 효과가 있는데 효과가 없다고 잘못 결론 내릴 가능성
- β는 일반적으로 10%로 설정
5-2. 가설설정의 오류

- 오류를 완벽히 배제할 수는 없음
- 두 가지 오류를 동시에 최소로 할 수는 없음
- 일반적으로 제 1종 오류가 더 중요하여 이를 미리 지정한 유의수준 이하로 하는 방식 사용
요소
1. 유의수준(significance level)
제 1종 오류를 범할 확률의 최대 허용한계
2. 유의확률(p-value)
귀무가설이 옳다는 가정하에 관측된 사건만큼 혹은 이보다 더 귀무가설에 반하는 사건이 일어날 확률
검정통계량 값에 대해 귀무가설을 기각할 수 있는 최소의 유의수준으로 귀무가설이 사실일 확률
α > p-value : 귀무가설 기각
α < p-value : 귀무가설 채택
3. 임계값(critical value)
기각역과 채택역을 나누는 경계값
기각역 : 귀무가설을 기각하게 되는 검정통계량의 관측값의 영역
채택역 : 귀무가설을 채택하게 되는 검정통계량의 관측값의 영역
검정통계량의 관측값이 기각역에 속하면 귀무가설 기각

검정력함수
1. 검정력함수(power function)
모수의 값에 따른 귀무가설 기각 확률의 변화에 대한 함수
검정통계량이 X, 기각역이 R이라면
검정력함수는

- 제1종오류 범할 확률 = γ(θ)
- 제2종오류 범할 확률 = 1 - γ(θ)
검정력(power) : 귀무가설이 사실이 아닐 때 귀무가설을 기각할 확률
예시) "기각역이 x̄ ≤ 10인 검정법의 검정력 함수"

개인첨언 : 이 경우 검정력 함수는 모평균 μ가 주어졌을 때, 표본평균 x̄가 10이하일 확률을 계산
검정 절차
1. 검정할 가설을 설정
2. 유의수준을 설정
3. 임계치를 결정하고 검정통계량과 임계치를 비교(혹은 유의수준과 유의확률 비교)
4. 유의확률(=p-value)값이 유의수준(α) 보다 작으면 귀무가설을 기각
1. 양측검정(Two-sided)
- 기각역이 각각 왼쪽과 오른쪽 두 부분으로 구성된 가설검정
- 양쪽 기각역의 합 = 유의수준

2. 단측검정(One-sided)
- 기각역이 한 쪽으로만 구성되는 가설검정
- 한 쪽 기각역이 유의수준

모평균 검정
1. 정규성 가정 만족하는 경우
정규분포를 따르는 모집단으로부터 n개의 표본이 추출되었을 때
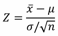
- 모분산 known : Z 검정 통계량 사용

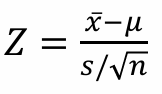
- 모분산 unknown : t 검정 통계량 사용

2. 모평균 검정 - 정규모집단
- 모분산 known : Z 검정 통계량 사용

- 모분산 unknown : t 검정 통계량 사용

3. 표본의 크기가 큰 임의의 모집단
- 모분산 known : Z 검정 통계량 사용

- 모분산 unknown : Z 검정 통계량 사용


4. 표본의 크기
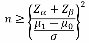
모분산 known 정규모집단에서
H0 : μ ≤ μ0, H1 : μ > μ0 혹은 H0 : μ ≥ μ0, H1 : μ < μ0
유의수준 α인 검정법에서 대립가설 하의 평균값 μ = μ1이 True라면,
제 2종 오류를 범한 확률이 β이하가 되도록 하려면 표본의 크기 n은

개인첨언 : 이 공식은 모수 μ에 대한 가설 검정을 수행할 때, 표본 크기 n을 결정하는 방법
필요한 표본 크기를 결정하여, 주어진 유의수준과 제 2종 오류 확률을 만족하도록 함
Zα : 유의수준 α에 해당하는 표준 정규분포의 Z값
Zβ : 제 2종 오류 확률 β에 해당하는 표준 정규분포의 Z값
μ1 : 대립가설이 참일 때 실제 평균값
μ0 : 귀무가설의 기준 평균값
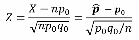
모비율 검정
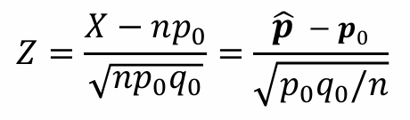
1. 모비율 검정
표본의 크기가 작은 경우에는 이항검정법을 사용

X ~ B(n, p)를 따르고, 표본 크기 n이 충분히 크고 np0 ≥ 5, nq0 ≥ 5일 때, 모비율에 관한 검정통계량


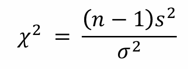
모분산 검정
1. 모분산 검정


강의는 통계수학 기초에 관한 내용을 다루고 있으며, 강의를 복습하기 위해 블로그에 다시 한 번 요약정리 하고 있다. 강의에서는 더욱 자세한 내용 설명과 예제를 통한 수학적 증명을 설명해주고 있으니, 통계수학에 대한 공부를 하고 싶은 사람은 꼭 이 강의를 수강하길 강추한다.
공부내용 :
통계 기초의 모든것 올인원 [ 1편, 2편 ]ㅣ18만 조회수 검증
www.metacodes.co.kr
'[통계학]' 카테고리의 다른 글
| 분산 분석 - 일원배치 / 이원배치 (3) | 2024.10.23 |
|---|---|
| 두 모집단 비교 - 두 모집단 비교 / 두 모평균 비교 / 대응비교 / 두 모비율 비교 / 두 모분산 비교 (2) | 2024.10.22 |
| 추정 - 점추정 / 구간추정 / (모평균,모비율,모분산의) 구간추정 / 표본크기결정 (1) | 2024.10.21 |
| 표본분포 - 표본분포 / 중심극한정리 / 카이제곱분포 / t분포 / F분포 (0) | 2024.10.21 |
| 통계검정 - 가설 / 오류 / 요소 / 절차 / 양측검정 / 단측검정 / 모평균검정 (1) | 2024.10.21 |