두 모집단 비교
1. 두 집단의 비교
- 모평균 비교, 모비율 비교, 모분산 비교 등
- 두 집단의 비교에는 분산이 고려되어야 함
- 분산이 고려되어야 보다 객관적인 비교가 가능
2. 두 모평균의 비교
- 두 모평균 비교
- 모분산 Known & 정규모집단
- 모분산 Unknown & 정규모집단 => 모분산 같음 or 모분산 다름
- 짝을 이룬 표본 비교
두 모집단 비교 - 모평균
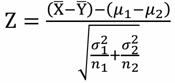
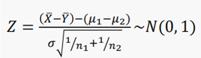
1. 두 모평균 차이 추론 : 모분산 known
X1, ... , Xn과 Y1, ... ,Yn이 각각 N( μ1, σ1² ), N( μ2, σ2² )을 따르고 서로 독립


- 우리의 관심 대상은 두 모평균의 차이(= μ1 - μ2 )
- 추정량 : x̄ - y̅
- 검정통계량

2. 두 모평균 차이 추론 : 소표본, 모분산 unknown, 등분산
X1, ... , Xn과 Y1, ... ,Yn이 각각 N( μ1, σ² ), N( μ2, σ² )을 따르고 서로 독립

이를, 합동분산으로 정리하면,

등분산 σ² 합동분산의 추정량

이어서,


Z ~ N(0, 1), V ~ X²(k), Z와 V는 서로 독립

검정통계량

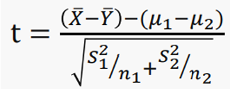
3. 두 모평균 차이 추론 : 소표본, 모분산 unknown, 이분산
검정통계량

=> 근사적으로 t분포
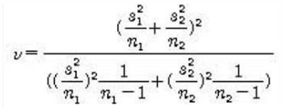
자유도 : Satterthwaite 자유도

개인첨언 : 두 개 이상의 모집단의 분산이 다를때, 분산분석이나 t-검정을 수행할 때 사용되는 수정된 자유도. 주로 Welch's t-검정에서 활용되며, 이는 두 집단의 분산이 동일하다고 가정할 수 없을 때 사용하는 t-검정
기본적으로 t-검정의 자유도는 표본크기에 의해 결정되지만, Satterthwaite 접근법은 두 표본의 분산과 표본크기를 고려하여 자유도를 조정. 이는 분산의 불균형으로 인해 발생할 수 있는 오류를 줄여줌. 이 방식으로 계산된 자유도는 일반적인 자유도보다 작아지며, 이는 t-분포의 꼬리를 더 두껍게 만들어 결과를 보다 보수적으로 평가할 수 있도록 함.
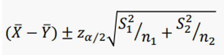
4. 두 모평균 차이 추론 : 표본 크기가 크다면
- 모평균의 차( μ1 - μ2 )의 100(1 - α)% 신뢰구간

- 귀무가설 H0 : μ1 - μ2 = δ을 검정하기 위한 검정통계량

두 모집단 비교 - 대응비교
1. 짝을 이룬 표본의 차이
- 같은 개체에 대해 실험 전/후 측정 값의 차이를 추론
- 두 집단 독립 X
- 대응표본 : 서로 독립 X, 비슷한 성질의 표본
- 대응비교 : 대응표본을 사용하여 두 모집단의 평균을 비교
2. 모평균의 차( μ1 - μ2 = δ )에 관한 추론
대응비교 Di = Xi - Yi, 서로 독립(D1, ... , Dn간)이고 Di ~ N( δ , σD² ) 가정
δ = μ1 - μ2에 대한 100(1 - α)% 신뢰구간


귀무가설 H0 : μ1 - μ2를 검정하기 위한 검정통계량

두 모집단 비교 - 모비율
1. 두 모집단의 비율 비교
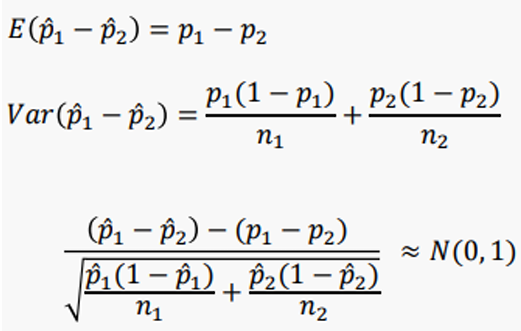
- 두 독립 표본으로부터의 비율 p̂1과 p̂2
- 표본비율의 평균과 분산

2. 표본의 크기가 큰 경우

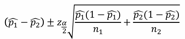
3. p1 - p2 신뢰구간(표본 크기 큰 경우)

4. 표본의 크기가 큰 경우
H0 : p1 = p2(= p)
H0 하에서
E( p̂1 - p̂2 ) = 0, Var( p̂1 - p̂2 ) = p(1 - p)(1/n1 + 1/n2)
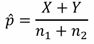
공통 모비율 p의 합동추정량

H0 : p1 = p2
검정통계량

두 모집단 비교 - 모분산
1. 두 모집단의 분산 비교
- 두 집단의 분산의 차이는 두 집단의 평균 차이 검정에 영향을 줌
- 분산의 동일성 검정
- 여러 모집단에 대한 분산의 동일성 여부를 검정
- 분산의 동일성 검정은 ANOVA분석의 기본 가정
- 등분산 가정이 성립해야 유의미한 분석 가능
2. 두 모분산 비교의 가정
X1, ... , Xn과 Y1, ... , Yn이 각각 N(μ1, σ²), N(μ2, σ²)을 따르고 서로 독립 (정규분포 아닐 경우 Levene's Test 사용)
3. 귀무가설

이어서,
검정통계량

가설검정

신뢰구간

4. F분포
F-분포는 두 정규모집단의 분산을 비교하는 추론에 사용
V1과 V2는 각각 자유도 k1, k2인 카이제곱분포를 따르는 독립인 확률변수


강의는 통계수학 기초에 관한 내용을 다루고 있으며, 강의를 복습하기 위해 블로그에 다시 한 번 요약정리 하고 있다. 강의에서는 더욱 자세한 내용 설명과 예제를 통한 수학적 증명을 설명해주고 있으니, 통계수학에 대한 공부를 하고 싶은 사람은 꼭 이 강의를 수강하길 강추한다.
공부내용 :
https://www.metacodes.co.kr/edu/read2.nx?M2_IDX=30098&page=1&sc_is_discount=&sc_is_new=&EP_IDX=8382&EM_IDX=8208
통계 기초의 모든것 올인원 [ 1편, 2편 ]ㅣ18만 조회수 검증
www.metacodes.co.kr
'[통계학]' 카테고리의 다른 글
| 회귀분석 (1) (3) | 2024.10.24 |
|---|---|
| 분산 분석 - 일원배치 / 이원배치 (3) | 2024.10.23 |
| 검정 - 검정의 요소 알아보기 / 검정력 함수 / 검정 절차 / 모평균검정 / 모비율검정 / 모분산검정 (3) | 2024.10.22 |
| 추정 - 점추정 / 구간추정 / (모평균,모비율,모분산의) 구간추정 / 표본크기결정 (1) | 2024.10.21 |
| 표본분포 - 표본분포 / 중심극한정리 / 카이제곱분포 / t분포 / F분포 (0) | 2024.10.21 |