추정
1. 통계적 추정(estimation)
표본의 통계량을 기초로 하여 모집단의 모수를 추정하는 방법론
통계적 추정의 관심대상은 통계량이 아니라 모수
2. 통계적 추정의 종류
1) 점 추정(Point estimation)
- 모수를 단일한 값으로 추측하는 방식
- 신뢰도를 나타낼 수 없음(추정치가 어느정도 옳을지 모름)
- 오차에 대한 정보가 없음
2) 구간추정
- 모수를 포함한다고 추정되는 구간을 구하는 방식
- 신뢰도를 나타낼 수 있음
점 추정
1. 추정량(estimator)
확률변수(표본 추출 전에는 알 수 없음)
모수에 대한 대략적 정보 제공
2. 추정값(estimate)
표본 추출로 추정량을 통해 실현된 값
3. 통계량과 추정량의 차이
추정량 = 추정에 사용되는 통계량
추정값 = 표본에서 결정된 추정량의 값
1. 불편성(Unbiasedness)
모수의 추정량의 기댓값이 모수가 되는 성질
2. 유효성(Efficiency)
추정량이 불편추정량이고 분산이 다른 추정량에 비해 가장 작은 분산을 갖는 성질
3. 일치성(Consistency)
표본 크기가 커질 수록 추정량이 모수에 수렴하는 성질
4. 충분성(Sufficiency)
모수에 대해 가능한 많은 표본정보를 내포하는 성질
1. 불편성(Unbiasedness)
모든 모수 θ의 모든 참값에 대하여 E( θ̂ ) = θ 이면 θ̂ = θ̂ (X1, ... , Xn)을 모수의 불편추정량이라고 함

2. 유효성
추정량의 표준오차(standard error) : 흩어짐의 정도를 나타내는 측도, 추정량 θ̂ 의 표준편차
두 불편추정량 θ̂ 1, θ̂ 2에 대해 S.E.( θ̂ 1 ) < S.E.( θ̂ 2 ) 이면 추정량 θ̂ 1이 추정량 θ̂ 2보다 유효
1. 모평균의 추정

2. 오차한계(limit of error)

추정량 μ̂ = x̄ 을 사용하여 모평균을 1,000번 추정하면 오차가 2σ / √n이내인 것이 대략 954번(정규모집단의 경우)
-> 2σ / √n 는 μ̂ = x̄의 95.4% (근사)오차한계
1. 모비율의 추정
X ~ B(n, p) : E(X) = np, Var(X) = npq
표본비율 p̂ = X / n은 모비율 p의 불편추정량
E( p̂ ) = p, S.E.( p̂ ) = sd( p̂ ) = √ pq / √ n
표본비율 p̂은 모비율 p의 일치추정량

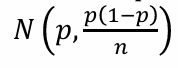
표본 크기가 큰 경우 X ~ N(np, npq) 표본비율 p̂는 N(p, pq/n) 근사
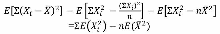
1. 모분산의 추정
X1, ... , Xn은 모평균 μ, 모분산 σ² 인 모집단의 확률표본일 때,

2. 모분산과 모표준편차 점 추정
모분산의 추정량

모표준편차의 추정량

구간추정
1. 구간추정
표본에서 얻어지는 정보를 이용하여 모수가 속할 것으로 기대되는 범위(신뢰구간)를 택하는 과정
통계적 추정은 일반적으로 신뢰구간의 추정을 활용
모수 θ에 대하여 P(a < θ < b) = 1 - α 일 때, 구간 (a, b)을 모수 θ에 대한 100(1 - α)% 신뢰구간이라고 한다.
2. 신뢰구간
모수를 포함할 것으로 추정한 구간
3. 신뢰수준
신뢰구간이 모수를 포함할 확률 (1 - α*)
* α : 오차율
동일한 표본추출을 통해 구한 신뢰구간들 중 100 * (1 - α)%는 모수를 포함
모평균의 구간추정
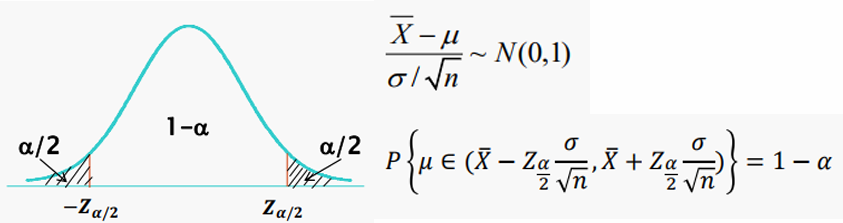
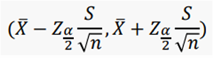
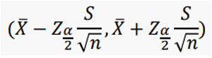
1. 모분산을 아는 경우가정) 모분산을 안다. 모집단의 평균이 μ, 분산 σ² 인 정규분포Z통계량을 사용


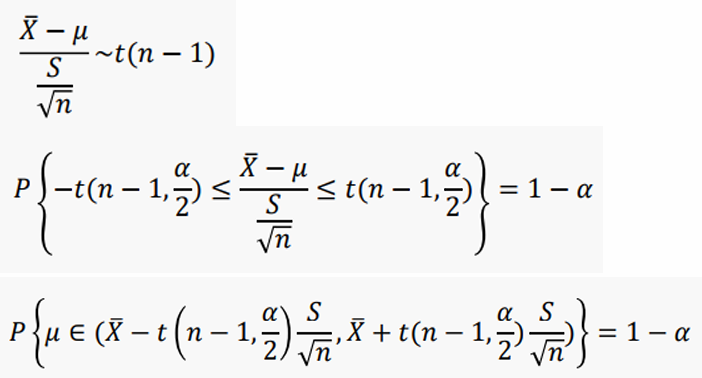
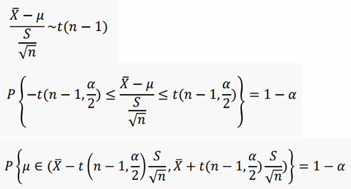
2. 모분산을 모르는 경우
가정) 모분산을 모른다. 모집단의 평균이 μ, 분산 σ² 인 정규분포
t통계량을 사용 (표본 크기가 클 경우 Z통계량을 사용)

3. 모평균의 100(1 - α)% 신뢰구간
1) 표본 크기가 크지 않은 경우
- 모분산 known

- 모분산 unknown

2) 표본 크기가 큰 경우
- 모분산 known

- 모분산 unknown

모비율의 구간추정
1. 모비율의 구간추정
베르누이분포 B(1, p)로부터의 크기 n인 확률표본에 대해, 표본비율 p̂의 분포는 n이 클 때, 근사적으로

를 따름

2. 근사신뢰구간

모분산의 구간추정
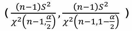
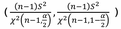
1. 모분산의 구간추정
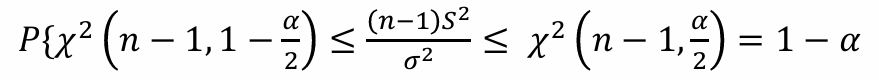
X1, ... , Xn이 정규분포 N( μ, σ² )로부터의 확률표본, 표본분산에 대하여


2. 정규모집단의 모분산 σ²에 대한 100(1 - α )% 신뢰구간

표본크기 결정
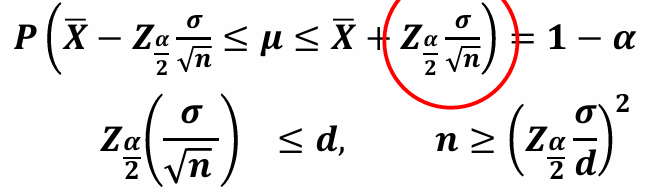
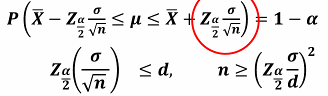
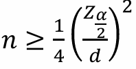
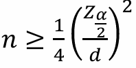
1. 모평균 추정
100(1 - α )% 오차한계를 d이하로, 하는데 필요한 표본크기 n

2. 모비율 추정
100(1 - α )% 오차한계를 d이하로, 하는데 필요한 표본크기 n
- p에 대한 사전지식이 없는 경우

- p에 대한 사전지식(p*)이 있는 경우

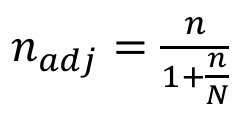
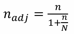
3. 최소표본크기 조정
모집단 크기가 표본 크기에 비해 상대적으로 작을 경우 최소표본의 크기를 조정
100(1 - α )% 신뢰구간 가정 하, 최소표본크기 계산
최소표본 크기(=n)와 모집단 크기(=N) 비교
n / N이 α보다 크면 표본크기 조정

강의는 통계수학 기초에 관한 내용을 다루고 있으며, 강의를 복습하기 위해 블로그에 다시 한 번 요약정리 하고 있다.
강의에서는 더욱 자세한 내용 설명과 예제를 통한 수학적 증명을 설명해주고 있으니, 통계수학에 대한 공부를 하고 싶은 사람은 꼭 이 강의를 수강하길 강추한다.
공부내용 :
통계 기초의 모든것 올인원 [ 1편, 2편 ]ㅣ18만 조회수 검증
www.metacodes.co.kr
'[통계학]' 카테고리의 다른 글
| 두 모집단 비교 - 두 모집단 비교 / 두 모평균 비교 / 대응비교 / 두 모비율 비교 / 두 모분산 비교 (2) | 2024.10.22 |
|---|---|
| 검정 - 검정의 요소 알아보기 / 검정력 함수 / 검정 절차 / 모평균검정 / 모비율검정 / 모분산검정 (3) | 2024.10.22 |
| 표본분포 - 표본분포 / 중심극한정리 / 카이제곱분포 / t분포 / F분포 (0) | 2024.10.21 |
| 통계검정 - 가설 / 오류 / 요소 / 절차 / 양측검정 / 단측검정 / 모평균검정 (1) | 2024.10.21 |
| 통계적 추정 - 통계적 추정의 정의와 기준 / 점추정 / 구간추정 / 모분산 아는경우 / 모분산 모르는 경우 (0) | 2024.10.21 |