연속확률분포 : Uniform Distribution
1. Uniform Distribution
연속확률분포 중 가장 간단한 분포
2. 확률밀도함수

- 기댓값 : (a + b) / 2
- 분산 : (b - a)² / 12
정규분포
1. 정규분포(가우스분포)
연속확률분포 중 가장 널리 사용
표본을 통한 통계적 추정 및 가설검정이론의 기본
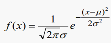
2. 확률밀도함수

정규분포의 특징
1. Bell Shaped : 평균을 중심으로 좌우 대칭의 종모양
2. 평균 = 중앙값 = 최빈값
3. 평균에 의해 분포의 위치가 결정
4. 표준편차에 의해 분포의 모양이 결정 - 표준편차가 크면 평평한 곡선이 됨
5. 확률변수 X가 어느 구간에 속할 확률은 그 구간과 분포함수로 이루어진 면적값
6. 이항분포와 포아송분포는 일정조건이 만족될 때 정규분포로 근사 가능
- np > 5 and n(1 - p) > 5
- λ > 5
표준정규분포
1. 표준정규분포
평균이 0이고 표준편차가 1인 정규분포
Z분포로도 불림
정규분포를 따르는 확률변수 X를 표준화


2. 표준정규분포의 확률밀도함수

표본분포
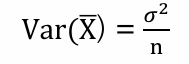
1. 표본분포(sampling distribution)
모집단에서 일정한 크기로 뽑을 수 있는 표본을 모두 뽑았을 때, 그 모든 표본의 통계량의 확률분포
2. 표본평균의 평균과 표준편차
X1, ... , Xn이 모평균 μ, 모표준편차 σ인 모집단으로부터의 확률표본(i.i.d *)일 때,
* Independent and identically distributed : 독립적이고 동일한 분포를 가진 확률변수들



중심극한정리
1. 중심극한정리
평균이 μ, 표준편차 σ인 임의의 모집단으로부터 크기 n인 표본에서의 표본평균은 n이 크면 근사적으로 평균이 μ이고 분산이 σ²/n 인 정규분포를 따름
모집단이 정규분포라면 표본평균은 표본 개수와 상관없이 항상 정규분포를 따른다.
x̄ ~ N(μ, σ²/n) if, n > 30 | if, 모집단 ~ N
카이제곱분포
1. 카이제곱( χ2 ) 분포
표본분산과 관련된 분포
확률변수 Z1, ... , Zk가 각각 표준정규분포를 따르고 독립일 때 그들의 제곱합은 자유도 k인 카이제곱분포 χ2(k)를 따름

표본분산을 알고 모분산을 추정할 때 사용하는 분포
(표본크기 클 수록 치우침이 적어짐)

카이제곱 분포의 특징
1. 단봉분포
2. 오른쪽에 꼬리를 가짐
3. 항상 양수값을 가짐
4. 자유도가 커지면 정규분포에 가까워짐
5. 모분산 추정 및 검정에 활용
6. 적합성, 동질성, 독립성 검정 등에 사용
t분포
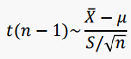
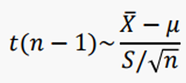
1. t분포
X의 분포가 정규분포일 때, 표본평균의 분포에서 모집단의 표준편차를 모를 경우 모표준편차 대신 표본표준편차를 사용
t분포는 자유도에 의해 모양이 결정됨
Z ~ N(0, 1), V ~ χ2(k) 이고 Z와 V는 서로 독립일 때,

X1, ... , Xn ~ N( μ, σ² ) 일 때,

t분포의 특성
1. t분포는 정규분포보다 넓게 퍼져 있고 꼬리부분이 더 평평함
2. Bell Shaped
3. 표본크기가 커질수록 분포가 중심부근에서 점점 더 뾰족해짐 - 표본 크기가 30 이상이 되면 정규분포에 근사
4. 주로 모평균 추정 혹은 모평균 차이에 대한 추정 시 모표준편차를 모를 때 t분포를 사용함
5. 표본 크기가 30 이상일 경우에는 표준정규분포, 미만일 때는 t분포
F분포
1. F분포
F-분포는 두 정규모집단의 분산을 비교하는 추론에 사용
V1과 V2는 각각 자유도 k1, k2인 카이제곱분포를 따르는 독립인 확률변수


강의는 통계수학 기초에 관한 내용을 다루고 있으며, 강의를 복습하기 위해 블로그에 다시 한 번 요약정리 하고 있다.
강의에서는 더욱 자세한 내용 설명과 예제를 통한 수학적 증명을 설명해주고 있으니, 통계수학에 대한 공부를 하고 싶은 사람은 꼭 이 강의를 수강하길 강추한다.
공부내용 :
통계 기초의 모든것 올인원 [ 1편, 2편 ]ㅣ18만 조회수 검증
www.metacodes.co.kr
'[통계학]' 카테고리의 다른 글
| 통계검정 - 가설 / 오류 / 요소 / 절차 / 양측검정 / 단측검정 / 모평균검정 (1) | 2024.10.21 |
|---|---|
| 통계적 추정 - 통계적 추정의 정의와 기준 / 점추정 / 구간추정 / 모분산 아는경우 / 모분산 모르는 경우 (0) | 2024.10.21 |
| 이산확률분포 - 이항분포 / 포아송분포 (0) | 2024.10.20 |
| 확률과 확률변수 - 확률의 정의 / 조건부확률 / 독립과종속 / 베이즈정리 / 확률변수 / 이산확률변수 / 연속확률변수 / 기대값 / 분산과 표준편차 / 공분산과 상관계수 (0) | 2024.10.20 |
| 통계량 - 데이터의 종류 / 중심 / 산포 / 형태 / 상관 (3) | 2024.10.20 |