통계적 추정
1. 통계적 추정
표본의 통계량을 기초로 하여 모집단의 모수를 추정하는 방법론
2. 통계적 추정의 종류
1) 점추정
- 모수를 단일한 값으로 추측하는 방식
- 신뢰도를 나타낼 수 없음
2) 구간추정
- 모수를 포함한다고 추정되는 구간을 구하는 방식
- 신뢰도를 나타낼 수 있음
기준
1. 불편성(Unbiasedness)
모수의 추정량의 기댓값이 모수가 되는 성질
2. 유효성(Efficiency)
추정량이 불편추정량이고 분산이 다른 추정량에 비해 가장 작은 분산을 갖는 성질
3. 일치성(Consistency)
표본 크기가 커질 수록 추정량이 모수에 수렴하는 성질
4. 충분성(Sufficiency)
모수에 대해 가능한 많은 표본정보를 내포하는 성질
점추정
1. 표준오차(Standard Error)
통계량의 표준편차 σ / √n
표본크기가 클 수록 작아짐
추정량의 표준편차가 작을 수록 좋음
2. 점 추정량
- 모평균 : 표본평균
- 모분산 : 표본분산
- 모표준편차 : 표본표준편차
- 모비율 : 표본비율
구간추정
1. 구간추정
표본에서 얻어지는 정보를 이용하여 모수가 속할 것으로 기대되는 범위(신뢰구간)를 택하는 과정
통계적 추정은 일반적으로 신뢰구간의 추정을 활용
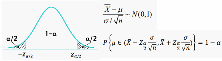
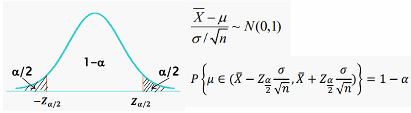
모수 θ에 대하여 P(a < θ < b) = 1 - α일 때 구간 (a, b)을 모수 θ에 대한 100(1 - α)% 신뢰구간이라고 한다.
2. 신뢰구간
모수를 포함할 것으로 추정한 구간
3. 신뢰수준
신뢰구간이 모수를 포함할 확률 (1 - α*)
* α : 오차율
동일한 표본추출을 통해 구한 신뢰구간들 중 100 x (1 - α)%는 모수를 포함
모평균의 구간추정
1. 모분산을 아는 경우
가정) 모분산을 안다. 모집단의 평균이 μ, 분산이 σ²인 정규분포
Z통계량을 사용


2. 모분산을 모르는 경우
가정 ) 모분산을 모른다. 모집단의 평균이 μ, 분산이 σ²인 정규분포
t통계량을 사용

표본 크기가 클 경우 Z통계량을 사용
강의는 통계수학 기초에 관한 내용을 다루고 있으며, 강의를 복습하기 위해 블로그에 다시 한 번 요약정리 하고 있다.
강의에서는 더욱 자세한 내용 설명과 예제를 통한 수학적 증명을 설명해주고 있으니, 통계수학에 대한 공부를 하고 싶은 사람은 꼭 이 강의를 수강하길 강추한다.
공부내용 :
통계 기초의 모든것 올인원 [ 1편, 2편 ]ㅣ18만 조회수 검증
www.metacodes.co.kr
'[통계학]' 카테고리의 다른 글
| 표본분포 - 표본분포 / 중심극한정리 / 카이제곱분포 / t분포 / F분포 (0) | 2024.10.21 |
|---|---|
| 통계검정 - 가설 / 오류 / 요소 / 절차 / 양측검정 / 단측검정 / 모평균검정 (1) | 2024.10.21 |
| 연속확률분포 - Uniform Distribution / 정규분포 / 표본분포 / 중심극한정리 / 카이제곱분포 / t분포 및 F분포 (0) | 2024.10.20 |
| 이산확률분포 - 이항분포 / 포아송분포 (0) | 2024.10.20 |
| 확률과 확률변수 - 확률의 정의 / 조건부확률 / 독립과종속 / 베이즈정리 / 확률변수 / 이산확률변수 / 연속확률변수 / 기대값 / 분산과 표준편차 / 공분산과 상관계수 (0) | 2024.10.20 |