확률과 확률변수 : 확률 정의
1. 표본공간(S) : 랜덤한 현상의 모든 가능한 결과의 집합
2. 사건(event) : 표본공간의 부분집합
- 합사상 A∪B
- 곱사상 A ∩ B
- 여사상 Ac
- 배반사상 A ∩ B=∅
3. Flipping Coin Twice
- 표본공간 S : {HH, HT, TH, TT}
- 사건 A : 동전을 두 번 던지는 시행에서 동전의 앞면이 1번만 A = {HT, TH}
4. 확률의 고전적 정의 : 가능한 결과가 N가지이고, 각 결과가 나타날 가능성이 모두 같을 때, 사건 A에 속하는 결과가 m개라면 A의 확률

5. 경험적 정의(상대도수)

6. 확률의 공리적 정의 : 표본공간 S에서의 임의의 사상 A에 대하여,
- 0 <= P(A) <= 1
- P(S) = 1
- 서로 배반인 사상들에 대하여

이 때, P(A)를 사상 A의 확률이라고 함
7. 확률의 성질
- P( A∪B ) = P(A) + P(B) - P( A ∩ B )
- P( Ac ) = 1 - P(A)
- An이 서로 배반사상일때

- A ⊂ B 이면 P(A) <= P(B)
조건부확률
한 사건이 일어날 것을 전제로 다른 사건이 일어날 확률
(변화된 표본공간에서의 사건 발생 확률)
- B가 일어났을 때 A가 일어날 확률
- A가 일어났을 때 B가 일어날 확률
독립과 종속
1. 독립사건 : 한 사건의 발생이 다른 사건의 발생 확률에 영향을 주지 않음
- 사건 A와 사건 B가 독립이면,
- P( A ∩ B ) = P(A)P(B)
- P(A | B) = P(A)
- P(B | A) = P(B)
2. 종속사건 : 한 사건의 발생이 다른 사건의 발생 확률에 영향을 줌
P( A ∩ B ) = P(A | B) P(B) = P(B | A) P(A)
베이즈 정리
사건 A1, ... , An이 표본공간 S의 분할이고 P(A) > 0, P(B) > 0 일 때,

- P(Ak)는 원인의 가능성 : 사전확률
- P(B | Ak)는 원인 Ak의 결과로서 B가 관측될 확률
- P(Ak | B)는 B가 관측된 후에 원인 Ak의 가능성 : 사후확률
- 사전확률을 사후확률로 전환할 수 있음
확률변수
1. 확률변수
- 표본공간에서 정의된 실수값 함수
- 실수가 아니면 확률분포함수 정의할 수 없음
- 일정 확률을 가지고 발생하는 사건에 수치를 부여한 것
- 변수가 어떤 값을 취하는지가 확률적으로 결정된다 - 통계적 규칙성은 있다고 봄
2. 확률분포
- 확률변수의 값과 확률을 대응시켜 표, 그래프, 함수로 표현한 것
이산/연속확률변수
1. 이산확률변수
- 이산표본공간에서 정의된 확률변수의 값이 유한 혹은 countably infinite
- 확률질량함수 : 이산확률변수 X의 값 x1, ... , xn의 각 확률을 대응
2. 연속확률변수
- 특정 구간 내의 모든 값을 취하는 확률변수
- 확률변수의 값이 무한개이며 셀 수 없음
- 확률밀도함수 : 확률변수 X가 어떤 구간 [l , u]의 모든 값을 취하고 이 구간에서의 함수 f(x)

기대값
1. 기대값(expected value)
- 확률변수의 모든 값의 평균
- 이산확률변수 : 확률변수의 값이 x1, ... 이고 X = xi일 확률이 f(xi)일 때,

- 연속확률변수 : 확률변수 X가 [l, u] 구간의 모든 값을 취하고 X의 확률밀도함수가 f(x)일 때,

기대값의 성질
1. 기대값의 성질(a, b는 상수이고 X, Y는 확률변수)

분산과 표준편차
1. 분산

- 이산확률변수

- 연속확률변수

2. 표준편차

분산과 표준편차의 성질
1. 분산과 표준편차의 연산

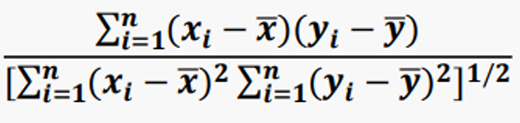
공분산과 상관계수


1. 공분산과 상관계수의 성질

2. 두 확률변수 합의 분산

강의는 통계수학 기초에 관한 내용을 다루고 있으며, 강의를 복습하기 위해 블로그에 다시 한 번 요약정리 하고 있다.
강의에서는 더욱 자세한 내용 설명과 예제를 통한 수학적 증명을 설명해주고 있으니, 통계수학에 대한 공부를 하고 싶은 사람은 꼭 이 강의를 수강하길 강추한다.
공부내용 :
통계 기초의 모든것 올인원 [ 1편, 2편 ]ㅣ18만 조회수 검증
www.metacodes.co.kr
'[통계학]' 카테고리의 다른 글
| 통계검정 - 가설 / 오류 / 요소 / 절차 / 양측검정 / 단측검정 / 모평균검정 (1) | 2024.10.21 |
|---|---|
| 통계적 추정 - 통계적 추정의 정의와 기준 / 점추정 / 구간추정 / 모분산 아는경우 / 모분산 모르는 경우 (0) | 2024.10.21 |
| 연속확률분포 - Uniform Distribution / 정규분포 / 표본분포 / 중심극한정리 / 카이제곱분포 / t분포 및 F분포 (0) | 2024.10.20 |
| 이산확률분포 - 이항분포 / 포아송분포 (0) | 2024.10.20 |
| 통계량 - 데이터의 종류 / 중심 / 산포 / 형태 / 상관 (3) | 2024.10.20 |